In mathematics, convergence tests are methods of testing for the convergence, conditional convergence, absolute convergence, interval of convergence or divergence of an infinite series .
List of tests
Limit of the summand
If the limit of the summand is undefined or nonzero, that is , then the series must diverge. In this sense, the partial sums are Cauchy only if this limit exists and is equal to zero. The test is inconclusive if the limit of the summand is zero. This is also known as the nth-term test, test for divergence, or the divergence test.
Ratio test
This is also known as d'Alembert's criterion.
- Consider two limits and . If , the series diverges. If then the series converges absolutely. If then the test is inconclusive, and the series may converge absolutely, conditionally or diverge.
Root test
This is also known as the nth root test or Cauchy's criterion.
- Let
- where denotes the limit superior (possibly ; if the limit exists it is the same value).
- If r < 1, then the series converges absolutely. If r > 1, then the series diverges. If r = 1, the root test is inconclusive, and the series may converge or diverge.
The root test is stronger than the ratio test: whenever the ratio test determines the convergence or divergence of an infinite series, the root test does too, but not conversely.
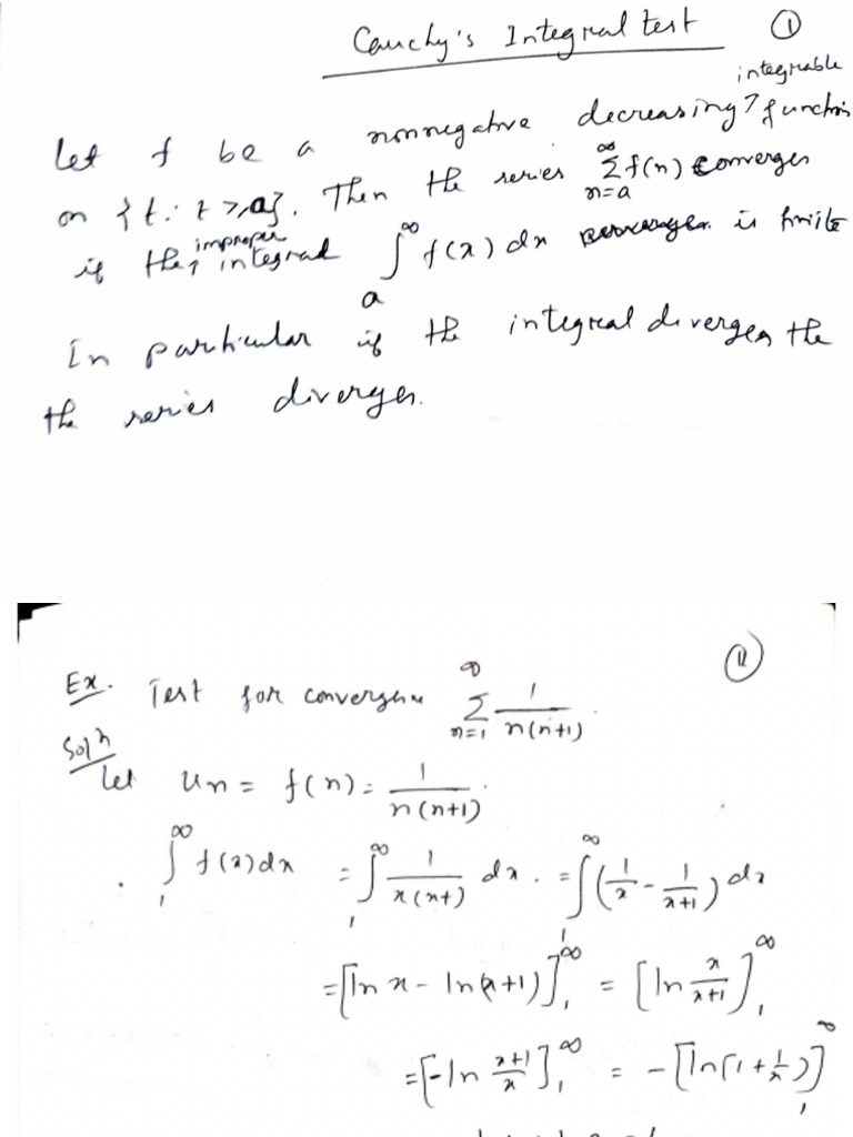
Integral test
The series can be compared to an integral to establish convergence or divergence. Let be a non-negative and monotonically decreasing function such that . If then the series converges. But if the integral diverges, then the series does so as well. In other words, the series converges if and only if the integral converges.
p-series test
A commonly-used corollary of the integral test is the p-series test. Let . Then converges if .
The case of yields the harmonic series, which diverges. The case of is the Basel problem and the series converges to . In general, for , the series is equal to the Riemann zeta function applied to , that is .
Direct comparison test
If the series is an absolutely convergent series and for sufficiently large n , then the series converges absolutely.
Limit comparison test
If , (that is, each element of the two sequences is positive) and the limit exists, is finite and non-zero, then either both series converge or both series diverge.
Cauchy condensation test
Let be a non-negative non-increasing sequence. Then the sum converges if and only if the sum converges. Moreover, if they converge, then holds.
Abel's test
Suppose the following statements are true:
- is a convergent series,
- is a monotonic sequence, and
- is bounded.
Then is also convergent.
Absolute convergence test
Every absolutely convergent series converges.
Alternating series test
Suppose the following statements are true:
- is monotonic,
Then and are convergent series. This test is also known as the Leibniz criterion.
Dirichlet's test
If is a sequence of real numbers and a sequence of complex numbers satisfying
- for every positive integer N
where M is some constant, then the series
converges.
Cauchy's convergence test
A series is convergent if and only if for every there is a natural number N such that
holds for all n > N and all p ≥ 1.
Stolz–Cesàro theorem
Let and be two sequences of real numbers. Assume that is a strictly monotone and divergent sequence and the following limit exists:
Then, the limit
Weierstrass M-test
Suppose that (fn) is a sequence of real- or complex-valued functions defined on a set A, and that there is a sequence of non-negative numbers (Mn) satisfying the conditions
- for all and all , and
- converges.
Then the series
converges absolutely and uniformly on A.
Extensions to the ratio test
The ratio test may be inconclusive when the limit of the ratio is 1. Extensions to the ratio test, however, sometimes allows one to deal with this case.
Raabe–Duhamel's test
Let { an } be a sequence of positive numbers.
Define
If
exists there are three possibilities:
- if L > 1 the series converges (this includes the case L = ∞)
- if L < 1 the series diverges
- and if L = 1 the test is inconclusive.
An alternative formulation of this test is as follows. Let { an } be a series of real numbers. Then if b > 1 and K (a natural number) exist such that
for all n > K then the series {an} is convergent.
Bertrand's test
Let { an } be a sequence of positive numbers.
Define
If
exists, there are three possibilities:
- if L > 1 the series converges (this includes the case L = ∞)
- if L < 1 the series diverges
- and if L = 1 the test is inconclusive.
Gauss's test
Let { an } be a sequence of positive numbers. If for some β > 1, then converges if α > 1 and diverges if α ≤ 1.
Kummer's test
Let { an } be a sequence of positive numbers. Then:
(1) converges if and only if there is a sequence of positive numbers and a real number c > 0 such that .
(2) diverges if and only if there is a sequence of positive numbers such that
and diverges.
Abu-Mostafa's test
Let be an infinite series with real terms and let be any real function such that for all positive integers n and the second derivative exists at . Then converges absolutely if and diverges otherwise.
Notes
- For some specific types of series there are more specialized convergence tests, for instance for Fourier series there is the Dini test.
Examples
Consider the series
Cauchy condensation test implies that (i) is finitely convergent if
is finitely convergent. Since
(ii) is a geometric series with ratio . (ii) is finitely convergent if its ratio is less than one (namely ). Thus, (i) is finitely convergent if and only if .
Convergence of products
While most of the tests deal with the convergence of infinite series, they can also be used to show the convergence or divergence of infinite products. This can be achieved using following theorem: Let be a sequence of positive numbers. Then the infinite product converges if and only if the series converges. Also similarly, if holds, then approaches a non-zero limit if and only if the series converges .
This can be proved by taking the logarithm of the product and using limit comparison test.
See also
- L'Hôpital's rule
- Shift rule
References
Further reading
- Leithold, Louis (1972). The Calculus, with Analytic Geometry (2nd ed.). New York: Harper & Row. pp. 655–737. ISBN 0-06-043959-9.



